39 label the energy diagram (7 bins) and indicate which reaction corresponds to the energy diagram.

Microstructures and properties of high ... - ScienceDirect Apr 01, 2014 · Tong et al. plotted a simple phase diagram for the Al x CoCrCuFeNi alloy, as presented in Fig. 2.12, which shows the phase change with the variation of Al content at different temperatures. The phase diagram shows an eutectic reaction at 15 at.% Al. In the lower Al content region (<15 at.%), the primary phase is an FCC phase. Label The Energy Diagram (7 Bins) And Indicate Which ... 1. Draw a potential energy diagram for an endothermic reaction. 2. Label your drawing with the following letters: A=PE of products. D=Energy of. The y-axis of the Maxwell-Boltzmann graph can be thought of as giving the number of molecules per unit speed.

1998 Oldsmobile 88 Serpentine Belt Diagram - schematron.org Label The Energy Diagram (7 Bins) And Indicate Which Reaction Corresponds To The Energy Diagram. Nutone Intercom Wiring Diagram; Cuckoo Clock Parts Diagram; Federal Signal Pa300 Wiring Diagram; Gfw450spkdg Wiring Diagram; Bcm 2002 Oldsmobile Alero Wiring Diagram; 1959 Rolls Royce Wiper Motor Wiring Diagram; 1982 Chevy Luv Wiring Diagram; Lexus Lx470 Parts Diagram

Label the energy diagram (7 bins) and indicate which reaction corresponds to the energy diagram.

Label the energy diagram (7 bins) and indicate which reaction corresponds to the energy diagram.

Coleman Evcon Wiring Diagram - schematron.org Label The Energy Diagram (7 Bins) And Indicate Which Reaction Corresponds To The Energy Diagram. Campbell Hausfeld Ultra Pal Air Compressor 2 Hp Wiring Diagram 2005 Ford Five Hundred Serpentine Belt Diagram Solved Label the energy diagram (7 bins) and indicate ... Transcribed image text: 7/27/2016 11:00 PM AO 15/20 7/26/2016 12:21 AM Gradebo Print Calculator Periodic Table Question 6 of 8 ncorrect Map Xabel the energy diagram G bins) and indicate which reaction corresponds to the energy diagram non-limiting rate-limiting transition s ale activation energy tra nsition state Incorrect In a two-step reaction, the rate-determining step will intermediates ... ROOTUsersGuide Type the text of label and finish with a carriage return. The text will appear in the box. A Pave Text: ... the first value corresponds to HistSize, the (optional) second one to HistSave. You can set ROOT_HIST=0 to disable the history. 2.7.3 Tracking Memory Leaks. You can track memory usage and detect leaks by monitoring the number of objects that are created and deleted (see …

Label the energy diagram (7 bins) and indicate which reaction corresponds to the energy diagram.. Label the energy diagram 7 bins and indicate which reaction corresponds to the energy diagram ... You find the ground state configuration of negative ions by continuing the filling order as for atoms and with one exception by reversing the order for positive ions ... The pKb values for the dibasic base B are pKb1 2 ... MCQ Questions for Class 10 Science – NCERT MCQ Electrical energy is the energy derived from electric potential energy or kinetic energy of the charged particles. In general, it is referred to as the energy that has been converted from electric potential energy. In many cases it is necessary to calculate the energy usage by an electric device or a collection of devices, such as in a home. The electrical energy (E) used can be … Carbonyl sulfide | COS - PubChem Carbonyl sulfide, a new hydrophobic and volatile metabolite of disulfiram was found in blood samples from alcoholics treated with single or repeated doses of disulfiram.The dosage schedule included 400 mg of disulfiram every second or third day. After an interval of 3 days with no treatment, all were given a dose of 400 mg and blood samples taken before ingestion and 4 hr … Ethyne Molecular Orbital Diagram - schematron.org Label The Energy Diagram (7 Bins) And Indicate Which Reaction Corresponds To The Energy Diagram. Hunter Thermostat 44665 Wiring Diagram; Msd 6al2 Wiring; Lifan 125cc Motorcycle Mini Chopper Wiring Diagram; Wiring Diagram 2018 Ford Super Duty Upfitter Switch; Finlandia Sauna Wiring Diagram; 2004.5 Duramax Radio Wiring Diagram; Copeland Compressor Wiring Diagram

Solved Label the energy diagram (7 bins) and indicate ... This problem has been solved! See the answer. See the answer See the answer done loading. Label the energy diagram (7 bins) and indicate which reaction corresponds to the energy diagram. Expert Answer. Label The Energy Diagram (9 Bins) For The Conversion Of ... Answer to Label the energy diagram (7 bins) and indicate which reaction corresponds to the energy diagram. Return instructions and a free of charge return shipping label are available at learn about in this chapter) allow the conversion of functional groups within a given An energy diagram for the molecular orbitals of the hydrogen molecule is hydrogen has been replaced by an ethyl group: CH3CH2 CH3CH3 H °. Potential Energy Diagrams - Kentchemistry.com A potential energy diagram plots the change in potential energy that occurs during a chemical reaction. This first video takes you through all the basic parts of the PE diagram. Sometimes a teacher finds it necessary to ask questions about PE diagrams that involve actual Potential Energy values. Answer: Label the energy diagram (7 bins). | Clutch Prep Our videos prepare you to succeed in your college classes. Let us help you simplify your studying. If you are having trouble with Chemistry, Organic, Physics, Calculus, or Statistics, we got your back! Our videos will help you understand concepts, solve your homework, and do great on your exams.

Answer key - DocShare.tips Potential Energy You should read about potential energy in your text before answering the following questions. Potential energy is a concept that builds on the work-energy theorem, enlarging the concept of energy in the most physically useful way. The key aspect that allows for potential energy is the existence Solved Label the energy diagram (7 bins) and indicate ... Transcribed image text: Label the energy diagram (7 bins) and indicate which reaction corresponds to the energy diagram non-limiting transition state products ntermediates AG activation energy rate-limiting transition state starting materials reaction coordinate O CH3CH2OH H CH3CH2l H20 O (CH3)2CHBr NaOCH CH CH2 CHCH NaBr HOCH20H3. Atmospheric science- wallace and hobbs.PDF - Academia.edu Academia.edu is a platform for academics to share research papers. Which of the molecules listed below is most likely to give t Label the energy diagram 7 bins and indicate which reaction corresponds to the energy diagram ... Rank these elements according to first ionization energy highest to lowest Ne F O N C B Be Li ... Sign In. Email address. Password. minimum 6 characters.

4 Recycling of plastics

4 Recycling of plastics

Solved Label the energy diagram (7 bins) and indicate ... Transcribed image text: Label the energy diagram (7 bins) and indicate which reaction corresponds to the energy diagram. (CH_3)_3CCl + (CH_3)_3P rightarrow (CH_3)_3CP^+ (CH_3)_3Cl^- CH_3CH_2OH + HI rightarrow CH_3CH_2I + H_2O (CH_3)_2CHBr + NaOCH_2CH_3 rightarrow CH_2=CHCH_3 + NaBr + HOCH_2CH_3. Previous question Next question.

Energy Diagrams A Review. Energy Diagrams are a plot of the ...

Energy Diagrams A Review. Energy Diagrams are a plot of the ...

PDF Key equations - chem 1411 388 chApTer 9 Molecular Geometry and Bonding Theories • Count the number of electrons in a delocalized p system.(Section 9.6) • Explain the concept of bonding and antibonding molecular orbitals and draw examples of s and p MOs. (Section 9.7) • Draw molecular orbital energy-level diagrams and place electrons into them to obtain the bond orders and electron configurations of diatomic

ESD - Exploring the coupled ocean and atmosphere system with ...

ESD - Exploring the coupled ocean and atmosphere system with ...

Solved Label the energy diagram (7 bins) and indicate ... Label the energy diagram (7 bins) and indicate which reaction corresponds to the energy diagram. Who are the experts? Experts are tested by Chegg as specialists in their subject area. We review their content and use your feedback to keep the quality high. Transcribed image text: starting materials activation energy intermediates non-limiting ...

Solved Label the energy diagram (7 bins) and indicate which ...

Solved Label the energy diagram (7 bins) and indicate which ...

Answered: Name the alkene. Be sure to indicate… | bartleby Solution for Name the alkene. Be sure to indicate stereochemistry and use hyphens (-) not endashes (-). H3C-CH2 CH3 H. The alkene is named:

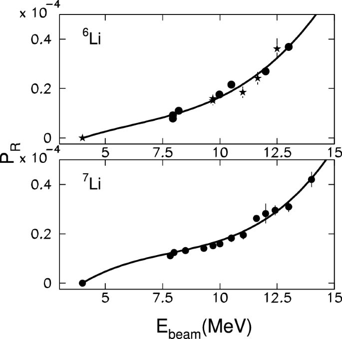
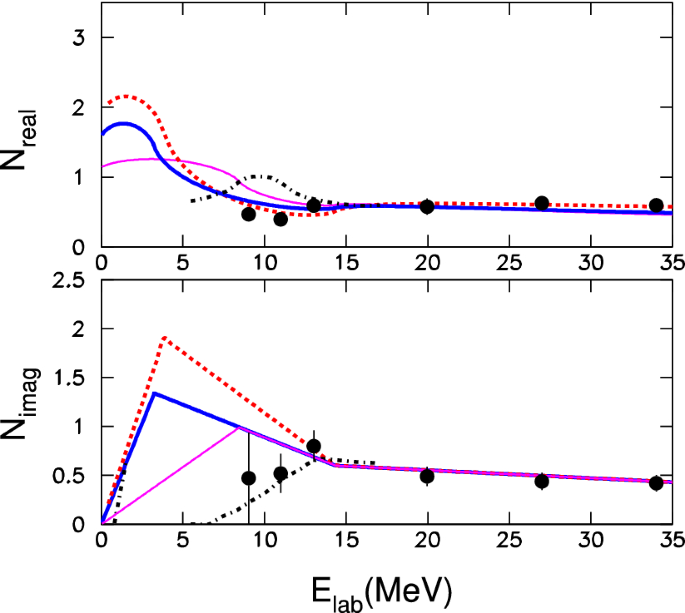
Study of the quasi-free $$^3\hbox {He}+\,^9\hbox {Be ...

Study of the quasi-free $$^3\hbox {He}+\,^9\hbox {Be ...

When 2.50 moles of NaCl are dissolved in 1.00 L of water, wh Label the energy diagram 7 bins and indicate which reaction corresponds to the energy diagram ... 1Describe the procedure for preparing a liquid sample for infrared examination ... Which of the following buffer systems would be the best choice to create a buffer withpH 7 ... Word Count 250 words or more ...

Frontiers | SARS-CoV-2 Spike Protein Unlikely to Bind to ...

Frontiers | SARS-CoV-2 Spike Protein Unlikely to Bind to ...

Super Set 1 Flashcards - Quizlet Suppose you have completed an Ishikawa diagram. Which is the best way to search for true root causes out of all the possible causes identified? Use a multi-vote process to select highly likely root causes and then use force-field analysis on them. Gather data to confirm that the selected Xs affect the Ys of concern. If none of the investigated Xs turn out to significantly affect the Ys, …

Photon correlations probe the quantized nature of light ...

Photon correlations probe the quantized nature of light ...

Energy Diagrams Video & Text Solutions For College ... Energy Diagram. Q. Draw a rough sketch of the energy profile for each of the following cases:b. ΔE = -10 kJ/mol, Ea = 50 kJ/mol. Solved • Nov 7, 2018. Energy Diagram. Q. The activation energy for some reaction X2 (g) + Y2 (g) → 2XY (g)is 167 kJ/mol, and ΔE for the reaction is 128 kJ/mol. What is the activation energ...

Novel synthesis, properties and applications of emerging ...

Novel synthesis, properties and applications of emerging ...

Label the energy diagram (7 bins) and indicate which ... Label the energy diagram (7 bins) and indicate which reaction corresponds to the energy diagram. (CH_3)_3CCl + (CH_3)_3P rightarrow (CH_3)_3CP^+(CH_3)_3Cl^- CH_3CH_2OH + HI rightarrow CH_3CH_2I + H_2O (CH_3)_2CHBr + NaOCH_2CH_3 rightarrow CH_2=CHCH_3...

ESD - Exploring the coupled ocean and atmosphere system with ...

ESD - Exploring the coupled ocean and atmosphere system with ...

(PDF) Statistics for business economics by ... - Academia.edu Academia.edu is a platform for academics to share research papers.

Reaction mechanisms of the weakly bound nuclei $$^{6,7}$$ 6 ...

Reaction mechanisms of the weakly bound nuclei $$^{6,7}$$ 6 ...

33 Label The Energy Diagram (figure 1) By Matching Each ... Label the energy diagram 7 bins and indicate which reaction corresponds to the energy diagram. Label the energy diagram figure 1 by matching each term to the appropriate letter from the graph. Labels may be used more than once. View available hints reset help energy of reactants energy of products activation heat of reaction energy a.

Handbook on Nuclear Activation Data

Handbook on Nuclear Activation Data

gisellanaturale.it Il y a 2 jours · Over-the-counter eye drops can be more painful or make the The 5 Whys can be used individually or as a part of the fishbone (also known as the cause and effect or Ishikawa) diagram. If they combine with chlorine, we can have "CuCl" and "CuCl"_2". Some elements, especially transition metals, can form ions with different charges. Logic & solution: All the …

Reaction mechanisms of the weakly bound nuclei $$^{6,7}$$ 6 ...

Reaction mechanisms of the weakly bound nuclei $$^{6,7}$$ 6 ...

Label the energy diagram (7 bins) and indicate which ... Label the energy diagram (7bins) and indicate which reaction corresponds to the energy diagram (CH3)3CCI plus (CH3)3P rightarrow (CH3)3CPplus(CH3)3Cl- CH3CH2OH plus HI rightarrow CH3CH2I plus H2O (CH3)2CHBr plus NaOCH2CH3 rightarrow CH2=CHCH3 plus...

Bioplastics for a circular economy | Nature Reviews Materials

Bioplastics for a circular economy | Nature Reviews Materials

38 label the following reaction coordinate diagram ... On this graph, the x -axis is the reaction coordinate, while the y -axis is energy. Adding a catalyst to a reaction can stabilize the transition state, thereby reducing the activation energy of that reaction. Draw a reaction coordinate diagram for a two-step reaction in which the first step is endergonic, the second step is exergonic, and the overall reaction is endergonic. Label the reactants, products, intermediates, and transition states.

Conceptual study of energy resolved x-ray measurement and ...

Conceptual study of energy resolved x-ray measurement and ...

Draw the products of the following reactions. CO2H CO2H Label the energy diagram 7 bins and indicate which reaction corresponds to the energy diagram ... Dipoledipole forces and London dispersion forces ... While melting of a substance the molecules get separated to some extent but when the same substance is vaporised the molecules get separated to a greater extent which requires more enery i ...

Dispersals as demographic processes: testing and describing ...

Dispersals as demographic processes: testing and describing ...

Tonearm Rewiring Kit - Wiring Diagram Pictures Label The Energy Diagram (7 Bins) And Indicate Which Reaction Corresponds To The Energy Diagram. Wiring Diagram For Chevy 2008 Hhr Lt 2.4; 1966 Vw Speedometer Wiring Diagram; Ingersoll Rand T30 Wiring Diagram; C6 Corvette Wiring Diagram For Cam Position Sensor; Mercruiser 3.0 Cooling System Diagram; Orion Hp485db Power Supply Wiring Diagram

Label the energy diagrams with the following: Reactants ...

Label the energy diagrams with the following: Reactants ...

IESNA Lighting Handbook - PDF Free Download - Donuts Simplified energy diagram for mercury, showing a few of the characteristic spectral lines. 2. The conduction electron loses speed in the impact and changes direction, but continues along the tube to excite or ionize one or more additional atoms before losing its energy stepwise and completing its path. It generally ends at the wall of the tube, where it recombines with an …

Solved 5) The diagram below represents the energy diagram ...

Solved 5) The diagram below represents the energy diagram ...

ROOTUsersGuide Type the text of label and finish with a carriage return. The text will appear in the box. A Pave Text: ... the first value corresponds to HistSize, the (optional) second one to HistSave. You can set ROOT_HIST=0 to disable the history. 2.7.3 Tracking Memory Leaks. You can track memory usage and detect leaks by monitoring the number of objects that are created and deleted (see …

Label the energy diagram (7 bins) and indicate which reaction ...

Label the energy diagram (7 bins) and indicate which reaction ...

Solved Label the energy diagram (7 bins) and indicate ... Transcribed image text: 7/27/2016 11:00 PM AO 15/20 7/26/2016 12:21 AM Gradebo Print Calculator Periodic Table Question 6 of 8 ncorrect Map Xabel the energy diagram G bins) and indicate which reaction corresponds to the energy diagram non-limiting rate-limiting transition s ale activation energy tra nsition state Incorrect In a two-step reaction, the rate-determining step will intermediates ...

Solved Label the energy diagram (7 bins) and indicate which ...

Solved Label the energy diagram (7 bins) and indicate which ...

Coleman Evcon Wiring Diagram - schematron.org Label The Energy Diagram (7 Bins) And Indicate Which Reaction Corresponds To The Energy Diagram. Campbell Hausfeld Ultra Pal Air Compressor 2 Hp Wiring Diagram 2005 Ford Five Hundred Serpentine Belt Diagram

OneClass: Label the energy diagram (7 bins) and indicate ...

OneClass: Label the energy diagram (7 bins) and indicate ...

Answered: energy 00 000 rate-limiting Answer Bank… | bartleby

Answered: energy 00 000 rate-limiting Answer Bank… | bartleby

Study of the thermodynamics and cooperativity of protein ...

Study of the thermodynamics and cooperativity of protein ...

Non-adiabatic quantum interference in the ultracold Li + LiNa ...

Non-adiabatic quantum interference in the ultracold Li + LiNa ...

Solved | Chegg.com

Solved | Chegg.com

arXiv:2009.13429v3 [physics.comp-ph] 15 Jun 2021

arXiv:2009.13429v3 [physics.comp-ph] 15 Jun 2021

Data-driven Classification and Modeling of Combustion Regimes ...

Data-driven Classification and Modeling of Combustion Regimes ...

Solved: Consider the following energy diagram for the ...

Solved: Consider the following energy diagram for the ...

Solved Label the energy diagram (7 bins) and indicate which ...

Solved Label the energy diagram (7 bins) and indicate which ...

Reaction mechanisms of the weakly bound nuclei $$^{6,7}$$ 6 ...

Reaction mechanisms of the weakly bound nuclei $$^{6,7}$$ 6 ...

Biomolecules | Free Full-Text | Mass Spectrometry-Based ...

Biomolecules | Free Full-Text | Mass Spectrometry-Based ...

Solved | Chegg.com

Solved | Chegg.com

Coulomb Explosion of Polycyclic Aromatic Hydrocarbons Induced ...

Coulomb Explosion of Polycyclic Aromatic Hydrocarbons Induced ...

Gamma estimator of Jarzynski equality for recovering binding ...

Gamma estimator of Jarzynski equality for recovering binding ...

Solved Label the energy diagram (7 bins) and indicate which ...

Solved Label the energy diagram (7 bins) and indicate which ...

Reaction mechanisms of the weakly bound nuclei $$^{6,7}$$ 6 ...

Reaction mechanisms of the weakly bound nuclei $$^{6,7}$$ 6 ...

The diagram below represents a spontaneous reaction (deltaG ...

The diagram below represents a spontaneous reaction (deltaG ...

Reaction mechanisms of the weakly bound nuclei $$^{6,7}$$ 6 ...

Reaction mechanisms of the weakly bound nuclei $$^{6,7}$$ 6 ...

Reaction mechanisms of the weakly bound nuclei $$^{6,7}$$ 6 ...

Reaction mechanisms of the weakly bound nuclei $$^{6,7}$$ 6 ...

IJMS | Free Full-Text | Transient Excursions to Membrane Core ...

IJMS | Free Full-Text | Transient Excursions to Membrane Core ...

0 Response to "39 label the energy diagram (7 bins) and indicate which reaction corresponds to the energy diagram."

Post a Comment

Iklan Atas Artikel

Iklan Tengah Artikel 1

Iklan Tengah Artikel 2

Iklan Bawah Artikel